TL;DR: FP4 hardware is finally here, and FP4 linear layers are already being used in production. However, FP4 attention still causes significant quality degradation, preventing true end-to-end FP4 serving and limiting full hardware utilization. In this work, we present Attn-QAT, the first systematic study of 4-bit quantization-aware training for attention. We identify two key principles for stable FP4 attention QAT: (1) matching low-precision recomputation of attention scores in the backward pass and (2) resolving implicit precision assumptions in FlashAttention’s gradient calculation. Across video diffusion models and language models, Attn-QAT recovers the quality drop of 4-bit attention without the extra outlier-mitigation heuristics used by prior FP4 attention methods, while also delivering a 1.1x–1.5x speedup over SageAttention3 on an RTX 5090 and up to a 1.39x speedup over FlashAttention-4 on a B200. Code can be found here and here.

4-bit attention remains unsolved
Native FP4 tensor core support on new NVIDIA GPUs makes 4-bit computation increasingly attractive. In principle, FP4 computation offers lower memory traffic and up to 4x higher arithmetic intensity than higher-precision BF16 execution. But in practice, attention is much harder to quantize than linear layers. The reason is twofold. First, FP4 has an extremely small dynamic range and only a tiny set of representable values. Second, attention activations are heavy-tailed and contain more outliers than standard matrix multiplies. These two properties make attention much more sensitive to quantization errors.
Naively applying FP4 attention layers results in severely degraded video quality. In an attempt to mitigate this, prior training-free FP4 attention methods such as SageAttention3 use specialized outlier-mitigation techniques such as Q/K smoothing and two-level quantization of attention probabilities. However, even with these heuristics, we find that there is still video quality degradation on Wan 2.1-14B compared to using standard BF16 attention.
Instead of devising more sophisticated tricks to reduce quantization errors in a training-free manner, we take a different approach: employing quantization-aware training (QAT) for attention, which enables models to adapt to quantization errors during training and thus preserve model quality. The goal of this work is simple: make FP4 attention work without any outlier-mitigation techniques. In the context of video generation, this means making FP4 attention produce videos that are indistinguishable in quality from those of BF16 attention at inference time. For language models, our target will be for the benchmark scores of FP4 attention to match those of BF16 attention.

The two fixes that make Attn-QAT work
For linear layers, the QAT recipe is well known: simulate low-precision execution in the forward pass using fake quantization, keep the backward pass in higher precision (typically BF16), and train through the quantization noise. That works well for GEMMs. It does not work for attention.
The reason is that FlashAttention-style kernels are heavily fused operators whose backward pass relies on recomputation of attention scores and an algebraic identity that quietly assumes that the forward and backward passes share the same numerical behavior.
Attn-QAT stabilizes 4-bit attention by enforcing two forms of precision consistency.
1. Store a high-precision attention output for gradient computation
We first clarify notation. Let $\mathbf{Q}, \mathbf{K}, \mathbf{V} \in \mathbb{R}^{N \times d}$ denote the query, key, and value matrices, and define
\[ \mathbf{S} = \mathbf{Q}\mathbf{K}^\top / \sqrt{d} \in \mathbb{R}^{N\times N}, \quad \mathbf{P} = \mathrm{softmax}(\mathbf{S}) \in \mathbb{R}^{N\times N}, \quad \mathbf{O} = \mathbf{P}\mathbf{V} \in \mathbb{R}^{N\times d}. \]We use $(\cdot)^F$ to denote fake quantized (FP4-simulated) tensors, e.g., $\mathbf{P}^F = \phi^{-1}(\phi(\mathbf{P}))$.
In FlashAttention, the backward pass relies on a memory-efficient formulation of the softmax gradient. For a single row $i$,
\[ \mathbf{P}_i = \mathrm{softmax}(\mathbf{S}_i) \in \mathbb{R}^d, \]the gradient can be written as
\[ \begin{aligned} \mathbf{dS}_i &= \left(\mathrm{diag}(\mathbf{P}_i) - \mathbf{P}_i \mathbf{P}_i^\top\right)\mathbf{dP}_i \\ &= \mathbf{P}_i \odot \mathbf{dP}_i - (\mathbf{P}_i^\top \mathbf{dP}_i)\mathbf{P}_i. \end{aligned} \]The key difficulty is the scalar term $\mathbf{P}_i^\top \mathbf{dP}_i$, which naively requires access to the full attention row and thus $ O(n^2) $ memory in the sequence length for the full matrix $\mathbf{P}$.
FlashAttention keeps memory $O(n)$ in the sequence length by rewriting the scalar as
\[ \begin{aligned} \mathbf{P}_i^\top \mathbf{dP}_i &= \sum_j \mathbf{P}_{ij} \, \mathbf{dP}_{ij} \\ &= \sum_j \mathbf{P}_{ij} \, \mathbf{dO}_i^\top \mathbf{V}_j \\ &= \mathbf{dO}_i^\top \sum_j \mathbf{P}_{ij} \mathbf{V}_j \\ &= \mathbf{dO}_i^\top \mathbf{O}_i, \end{aligned} \]which reduces the computation to a dot product with the attention output $\mathbf{O}_i$.
This identity implicitly assumes that the forward pass computes
\[ \mathbf{O}_i = \sum_j \mathbf{P}_{ij} \mathbf{V}_j. \]However, under Attn-QAT, the forward pass (Algorithm 2) instead uses fake quantized probabilities and values:
\[ \mathbf{O}_i = \sum_j \mathbf{P}_{ij}^{F} \mathbf{V}_j^{F}. \]This introduces a precision mismatch: a naive backward pass depends on the high-precision $\mathbf{P}$ matrix, while the Attn-QAT forward pass uses $\mathbf{P}^F$. As a result,
\[ \mathbf{dO}_i^\top \mathbf{O}_i \neq \mathbf{P}_i^\top \mathbf{dP}_i, \]which leads to incorrect gradients and unstable training.
To resolve this, we compute an additional auxiliary output during the forward pass:
\[ \mathbf{O}_i' = \sum_j \mathbf{P}_{ij} \mathbf{V}_j^{F}. \]Here, $\mathbf{P}$ remains in high precision (FP32 row-wise softmax over $\mathbf{S}$), while $\mathbf{V}^F$ is still fake quantized (and stored in BF16 precision). This adds only a small amount (25% increase) of extra storage, while still preventing the need to materialize the full attention matrix.
In the backward pass, we then replace the scalar term with
\[ \mathbf{P}_i^\top \mathbf{dP}_i = \mathbf{dO}_i^\top \mathbf{O}_i', \]which restores the exact identity:
\[ \begin{aligned} \mathbf{P}_i^\top \mathbf{dP}_i &= \sum_j \mathbf{P}_{ij} \, \mathbf{dP}_{ij} \\ &= \sum_j \mathbf{P}_{ij} \, \mathbf{dO}_i^\top \mathbf{V}_j^{F} \\ &= \mathbf{dO}_i^\top \sum_j \mathbf{P}_{ij} \mathbf{V}_j^{F} \\ &= \mathbf{dO}_i^\top \mathbf{O}_i'. \end{aligned} \]Intuitively, $\mathbf{O}$ is the low-precision output used by the model, while $\mathbf{O}'$ is a minimal high-precision correction that ensures the backward pass remains mathematically consistent. Without $\mathbf{O}'$, the gradient computation silently assumes a different forward computation than what actually occurred, which is the root cause of instability in naive FP4 QAT for attention.
This small modification preserves the fully low-precision forward path while restoring correctness in the backward pass, eliminating the need for heuristic outlier-mitigation techniques.
2. Recompute attention probabilities in the same low precision used in the forward pass
In FlashAttention, the full matrix $\mathbf{P}$ is not stored. It is recomputed during the backward pass from the saved logsumexp statistics. Under QAT, this recomputation must match the low-precision forward pass. Attn-QAT therefore fake-quantizes the recomputed attention probabilities in the backward pass, so gradients are computed with respect to the same quantized activations seen in the forward pass. Empirically, we found that this had the effect of stabilizing training dynamics.
Results: Quality is Recovered
We evaluated the efficacy of Attn-QAT for both video diffusion models and language models.
For video diffusion models, we performed Attn-QAT on both Wan-2.1-1.3B and Wan-2.1-14B each using 480p and 720p synthetic latents, respectively, as training data. We only show the video results for the 14B model below since the 1.3B model is less capable.
For randomly-selected example videos below (generated by Wan-2.1-14B), we see that with Attn-QAT, FP4 attention produces videos comparable to BF16 attention, whereas SageAttention3 produces videos with artifacts. Furthermore, among 99 randomly sampled VBench prompts, our evaluators were basically unable to tell the difference between videos generated with BF16 attention and FP4 attention after QAT.

For language models, we evaluate Attn-QAT in two settings: continued pretraining and supervised fine-tuning. For continued pretraining, we use the C4 dataset and for SFT we use the Dolci-Instruct-SFT dataset.
For continued pretraining, Attn-QAT recovers most of the quality loss caused by FP4 attention on Qwen3-14B and partially recovers it on Llama 3.1-70B. We hypothesize that the remaining gap on the 70B model is likely due to a limited training budget rather than a failure of the method itself.
For supervised fine-tuning, Attn-QAT can be used as a drop-in replacement for BF16 attention. On Qwen3-14B, it achieves nearly identical downstream benchmark performance to BF16 attention. On Llama 3.1-70B, it remains close with a small gap. This is an important practical result: Attn-QAT is not only a specialized recovery stage for quantization, but can also be integrated directly into standard fine-tuning pipelines.
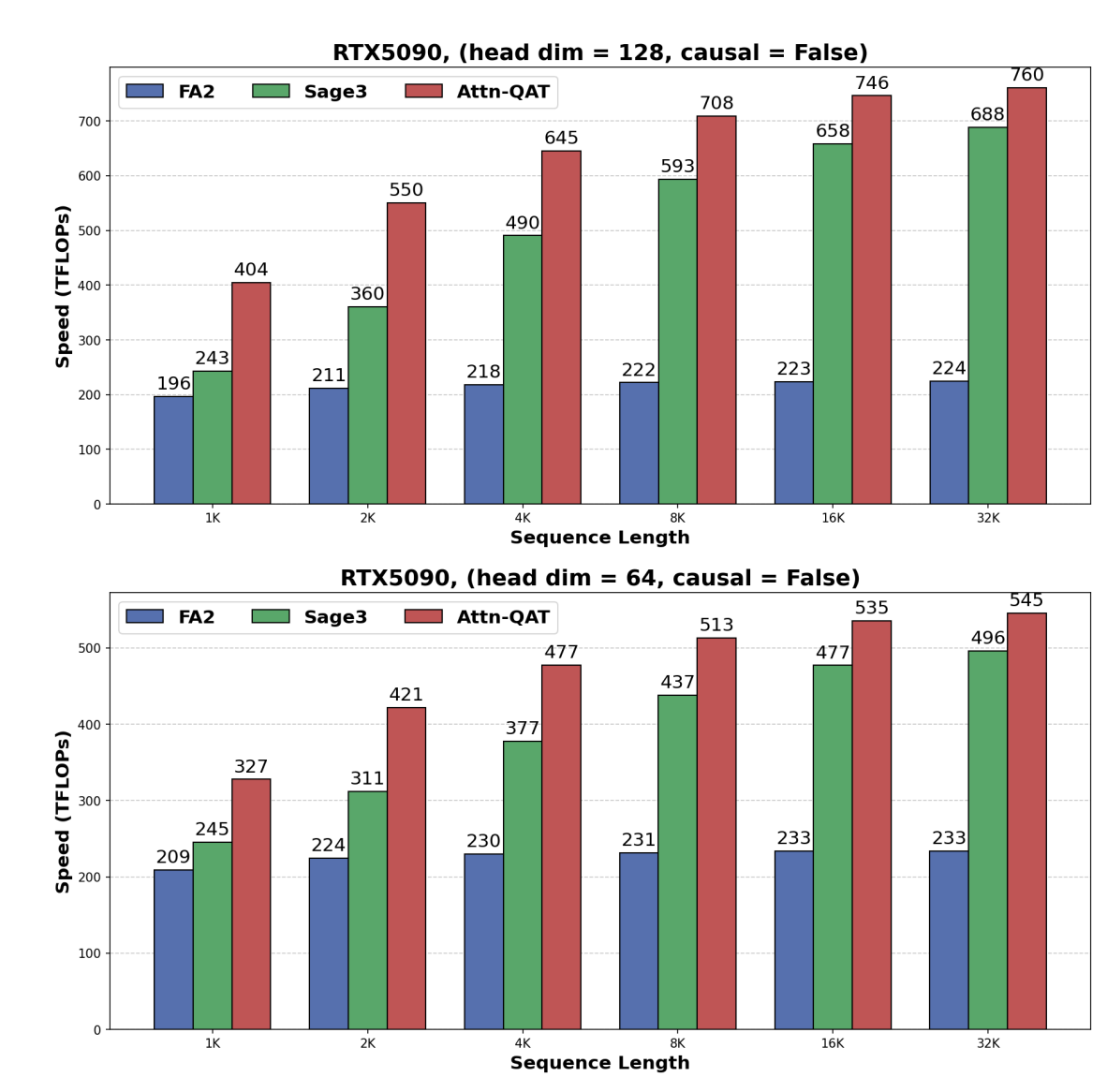
Faster Inference on an RTX 5090
Because Attn-QAT eliminates the need for extra smoothing and two-level quantization overhead used by SageAttention3, this results in faster inference. On an RTX 5090, we’re able to achieve approximately 1.1x-1.5x higher throughput than SageAttention3. The key reason is straightforward: by removing extra preprocessing for $\mathbf{Q}$, $\mathbf{K}$, and $\mathbf{P}$, the kernel becomes lighter while preserving quality through training rather than inference heuristics.

Part 2 (for GPU hackers): B200/B300 FP4 Attention Kernel
To enable Attn-QAT on data-center grade Blackwell GPUs (e.g., B200s/B300s), we also developed FlashAttention-4 FP4, an NVFP4-quantized FA4 kernel implemented in CuTeDSL, achieving up to a 1.39x speedup over FA4 and 1801 TFLOPS. The rest of this section explains the implementation challenges and what they reveal about NVIDIA’s hardware evolution.
Block-scaled MMAs and TMEM
Blackwell is the first GPU generation to provide native block-scaled FP4/FP8 GEMMs via the tcgen05.mma.cta_group.kind.block_scale instruction family, where Matrix Multiply-Accumulate (MMA) is performed directly on quantized inputs with per-group dequantization scales applied inside the Tensor Cores.
Block scaling is necessary because directly quantizing tensors with widely varying values into lower ranges introduces large errors. Each group/block computes a scale from its dynamic range (e.g., for NVFP4 E2M1, $s_{\text{dec}} = \max(|A_{\text{group}}|)/6$), quantizes via $A_q = A \cdot s_{\text{enc}}$ with $s_{\text{enc}} = s_{\text{dec}}^{-1}$, and the Tensor Core applies the inverse scale during MMA, effectively computing $(A_q \cdot s_{\text{dec},A}) @ (B_q \cdot s_{\text{dec},B})$.

Source: NVIDIA PTX Docs
Prior approaches on Hopper (H100) and Ampere (A100), such as
W4A8 and W4A16 (e.g., QServe and AWQ) use software dequantization: tensors are loaded and then dequantized group-wise (typical size 128) using CUDA cores and registers.
On Blackwell, this approach is no longer optimal: tcgen05.mma bakes in MXFP8/MXFP4 and NVFP4 with finer group sizes (32 and 16, respectively), providing better precision and freeing registers. It also enables FP8/FP6/FP4 GEMMs without block scales via the tcgen05.mma.cta_group.kind instruction.

Unlike the wgmma instruction on Hopper GPUs, where A/B live in SMEM/registers and the outputs stay in registers, Blackwell introduces Tensor Memory (TMEM) to hold MMA outputs. This reduces register pressure for larger tiles, but it also adds extra memory traffic in attention kernels: outputs must be copied from TMEM to registers (T2R) for the softmax computation and then must be written back to TMEM (R2T). Note that TMEM consists of 128 lanes (across four warps) x 512 columns, which gives 64K 32-bit cells. We will see how this quickly becomes a limiting resource alongside registers.

Source: PTX docs
Bloated Tensor Cores and the Softmax Bottleneck
| Spec | A100 (SXM4) | H100 (SXM5) | B200 (HGX) | B300 / GB300 | R200 |
|---|---|---|---|---|---|
| Architecture | Ampere | Hopper | Blackwell | Blackwell Ultra | Rubin |
| Year | 2020 | 2022 | 2024 | 2025 | 2026 |
| Die Config | 1 die, 826 mm² | 1 die, 814 mm² | 2× ~800 mm² ≈ 1,600 mm² | 2× ~800 mm² ≈ 1,600 mm² | 2× near-reticle + 2 I/O dies |
| Transistors | 54.2B | 80B | 208B | 208B | 336B |
| TDP | 400W | 700W | 1,000W | 1,100W (HGX) / 1,400W (GB300) | ~1,800W |
| SMs (enabled) | 108 | 132 | 148 | 160 | 224 |
| CUDA Cores (FP32) | 6,912 | 16,896 | 18,944 | 20,480 | TBD |
| BF16 Tensor TFLOPS (dense) | 312 | 989 | 2,250 | ~2,500 | TBD |
| FP8 Tensor TFLOPS (dense) | — | 1,979 | 4,500 | 5,000 | TBD |
| FP4 Tensor PFLOPS (dense) | — | — | 9.0 | 14–15 | TBD |
| Registers/SM | 64K × 32-bit | 64K × 32-bit | 64K × 32-bit | 64K × 32-bit | 64K x 32-bit (est.) |
| TMEM/SM | — | — | 256 KB | 256 KB | 256 KB+ |
| Shared Mem/SM (max) | 164 KB | 228 KB | 228 KB | 228 KB | TBD |
| MUFU.EX2 ops/clk/SM | 16 | 16 | 16 | 32 | 32 (fp32)/64 (fp16) |
Over the past few years, most of NVIDIA’s marketed performance gains have relied on scaling out through better interconnects, larger chips, and lower precision rather than single-chip efficiency. For example, while Jensen claimed up to 30x performance per GPU using Blackwell NVL72 over H100 at GTC 2024, SGLang was only able to get 1.9x per-GPU speedup without relying on FP4/FP8, at the cost of 2x chip size and 1.6x TDP (Thermal Design Power)–close to the 14% increase in FP16 TFLOPS per silicon area and 47% per GPU Watt as reported by Semianalysis.
Moreover, the increased chip size is mostly allocated for accelerating pure GEMMs. In the above table, we see that BF16/FP8 Tensor Core throughput increased by roughly 2x1 on a B200, while CUDA core count and softmax (exp2, the MUFU.EX2 instruction) throughput remained unchanged. In FlashAttention-4, attention is jointly bound by softmax and GEMM (both taking 1024 cycles for m128n128 tiles).
FA4 mitigates this with warp specialization, overlapping MMA and softmax across warp groups (WGs; think of pipeline parallelism in distributed training).

Source: FA4 paper
However, the overlap is never perfect because of pipeline warmup (launching two $\mathbf{Q}\mathbf{K}$ MMAs in a row) and bookkeeping overheads such as address computation, issuing MMA instructions, updating the softmax row-max, and copying results across WGs, so we can still yield meaningful speedups by reducing either bottleneck.
FA4 tries to mitigate the softmax bottleneck using a polynomial approximation of exp2. Higher-degree polynomials improve approximation precision but incur additional register usage and CUDA core FMA instructions, so it’s only applied to 10%-25% of the softmax scores. Despite this, softmax still remains a register-heavy and persistent bottleneck.
TMEM overlap schedule
To accelerate GEMMs, we analyzed the scale factor dataflow on a B200. We found that they must be loaded from GMEM $\rightarrow$ SMEM (via TMA) $\rightarrow$ TMEM and duplicated across four warps in a WG via a tcgen05.cp multicast in order to be usable by tcgen05.mma.
However, with 128x128 tiles, FA4’s pipeline already uses all available TMEM:
- S1 and S2 ($\mathbf{Q}\mathbf{K}$ outputs): 128 columns each
- O1/O2 use the remaining 256 columns

To avoid conflicts, we use a TMEM overlap schedule to squeeze in the scale factors while minimizing pipeline stalls: we reuse S2 for sfqk 1 and S1 for sfqk 2. Because tcgen05.mma ops issued by a thread using the same shape are guaranteed to execute sequentially, we only insert barriers between S1 T2R and sfqk 2 load. Note that sfvp 1 is guaranteed not to stomp on S1 due to being after QK2, and sfvp 2 again uses a barrier to wait for S2 copy out (which rarely fires due to having 2 MMAs between QK2 and PV2).
We also considered storing $\mathbf{P}$ in SMEM to free up TMEM, but rejected it due to insufficient ldmatrix instruction shapes for an R2S copy (max of 8x8 vs 32x16 for tcgen05.st).
Despite careful scheduling, using NVFP4 $\mathbf{P}\mathbf{V}$ MMA actually slows the kernel down due to the aforementioned softmax bottleneck. Quantizing $\mathbf{P}$ and $\mathbf{V}$ requires computing group-wise scale factors and cvt.rn.satfinite quantization instructions, which adds to the existing softmax bottleneck.
Therefore, we choose to run block-scaled NVFP4 $\mathbf{Q}\mathbf{K}$ and BF16 $\mathbf{P}\mathbf{V}$ on a B200 which achieves up to 1801 TFLOPS and a 1.39x speedup over FA4. Note that this is only a lower bound of the speedup: we have yet to experiment with NVFP4/MXFP8 $\mathbf{Q}\mathbf{K}$ + FP8 $\mathbf{P}\mathbf{V}$ (cutting MMA by 1/2 or to 1/4 doesn’t matter once it makes the kernel purely softmax-bound), which eliminates the group quantization overhead in a softmax WG.
Additionally, B300 doubles the exp throughput, and Rubin quadruples it (w/ fp16 exp), which should make a quantized $\mathbf{P}\mathbf{V}$ GEMM faster. In the future, we are excited to test more QAT recipes for different hardware!
| Config (causal=False) | FP4 (ms) | FP4 TFLOPS | BF16 (ms) | BF16 TFLOPS | Speedup |
|---|---|---|---|---|---|
| b=1 s=256 h=16 d=128 | 0.015 | 37 | 0.015 | 35 | 1.01x |
| b=1 s=1024 h=16 d=128 | 0.023 | 379 | 0.025 | 338 | 1.12x |
| b=4 s=4096 h=16 d=128 | 0.336 | 1637 | 0.389 | 1413 | 1.16x |
| b=4 s=8192 h=16 d=128 | 1.259 | 1747 | 1.511 | 1455 | 1.20x |
| b=2 s=16384 h=16 d=128 | 2.467 | 1782 | 3.003 | 1464 | 1.22x |
| b=1 s=32768 h=16 d=128 | 4.884 | 1801 | 6.771 | 1299 | 1.39x |
| b=4 s=4096 h=32 d=128 | 0.655 | 1678 | 0.775 | 1418 | 1.18x |
| b=4 s=8192 h=32 d=128 | 2.501 | 1759 | 3.027 | 1453 | 1.21x |
| b=1 s=4096 h=12 d=128 | 0.104 | 986 | 0.117 | 882 | 1.12x |
| b=1 s=32768 h=12 d=128 | 3.856 | 1711 | 5.056 | 1305 | 1.31x |
| b=1 s=4096 h=24 d=128 | 0.152 | 1352 | 0.172 | 1198 | 1.13x |
| b=1 s=32768 h=24 d=128 | 7.551 | 1747 | 10.061 | 1311 | 1.33x |
| b=1 s=32768 h=24 d=64 | 7.170 | 920 | 7.284 | 906 | 1.02x |
Precision Results
At the time of writing this blog, we received updates from an FP8 non-block-scaled PR, in the FA4 repo, so we show the kernel-level precision comparison below. Despite using NVFP4, we can see that our kernel achieves a 2-2.5x lower max absolute error with a group size of 16, compared to their per-head group (e.g., group size of 128).
| batch | seqlen | nheads | hdim | FP4 max | FP4 mean | FP8 max | FP8 mean |
|---|---|---|---|---|---|---|---|
| 1 | 256 | 16 | 128 | 0.158 | 0.01058 | 0.352 | 0.00591 |
| 1 | 512 | 16 | 128 | 0.148 | 0.00771 | 0.379 | 0.00555 |
| 1 | 1024 | 16 | 128 | 0.070 | 0.00553 | 0.260 | 0.00463 |
| 1 | 2048 | 16 | 128 | 0.078 | 0.00395 | 0.184 | 0.00372 |
| 2 | 4096 | 16 | 128 | 0.068 | 0.00280 | 0.136 | 0.00286 |
| 1 | 4096 | 24 | 128 | 0.043 | 0.00280 | 0.132 | 0.00284 |
| 1 | 8192 | 24 | 128 | 0.033 | 0.00199 | 0.075 | 0.00213 |
| 1 | 16384 | 16 | 128 | 0.025 | 0.00141 | 0.044 | 0.00157 |
| 1 | 32768 | 16 | 128 | 0.011 | 0.00100 | 0.022 | 0.00114 |
| 1 | 32768 | 24 | 128 | 0.016 | 0.00100 | 0.031 | 0.00114 |
Agent Assisted Kernel Dev
During debugging, we found agents such as Claude surprisingly effective even for low-level PTX and CuTeDSL code. It surfaced an obscure uninitialized register bug in FA4, which we confirmed to be fixed a week earlier by Tri Dao (buried in a large commit). Claude cut down at least 1-2 weeks of debugging time—these tools are particularly useful for SASS inspection (e.g. CuTeDSL -> PTX → SASS mapping), instruction dependency analysis, and guided performance debugging via structured task lists in a .md file
Designing SOTA kernels has been extremely time-consuming even for the top experts (e.g. FlashAttention3 came out a year after the Hopper release), as there are too many knobs to tune, and even a one-liner can change the compiled PTX significantly. We believe agents are best suited for bisecting bottlenecks and accelerating kernel development.
Final thoughts
Prior to this work, attention quantization was mostly treated as an inference problem: improve smoothing, calibration, or use other post-hoc fixes. Attn-QAT argues that this view is incomplete. Since modern attention kernels are fused and precision-sensitive, training methods and low-bit kernels must be co-designed.
While NVIDIA’s headline FP4/FP8 (MMA) TFLOPS come from stacking units for pure GEMMs, attention often takes up the bulk of the wall-clock time in long-context agentic serving and video generation workloads. Across the Hopper $\rightarrow$ Blackwell $\rightarrow$ Rubin evolution, we see a trend toward algorithms and hardware becoming increasingly coupled as hardware headroom diminishes.
Moving forward, we are excited to test hardware-specific mixed-precision QAT recipes and combine distillation and sparse attention with FP4 (we’d love to collaborate on this!).
For more details, please see our paper. All code is available in FastVideo, our unified framework for video diffusion post-training and real-time inference.
Citation
@misc{zhang2026attnqat4bitattentionquantizationaware,
title={Attn-QAT: 4-Bit Attention With Quantization-Aware Training},
author={Peiyuan Zhang and Matthew Noto and Wenxuan Tan and Chengquan Jiang and Will Lin and Wei Zhou and Hao Zhang},
year={2026},
eprint={2603.00040},
archivePrefix={arXiv},
primaryClass={cs.LG},
url={https://arxiv.org/abs/2603.00040}
}
Peak spec sheets imply about 2.27× higher BF16 Tensor TFLOPS than H100, but under TDP we measure closer to 2× in sustained cuBLAS BF16 GEMM—1400+ TFLOPS versus 700+ TFLOPS, with ~1700 TFLOPS only in short bursts. ↩︎



